Reynolds Number Piping
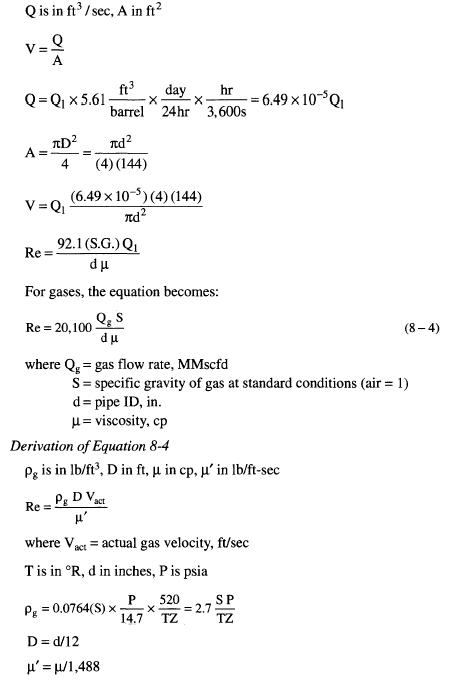
The Reynolds number is a dimensionless parameter that relates the ratio of inertial forces to viscous forces. It can be expressed by the following general equation:
The Reynolds number can be expressed in more convenient terms. For liquids, the equation becomes:
Categories: Gas Processing | Tags: Piping | Leave a comment